LA BORDURE DE L’ESPACE DU DÉSIR EN PSYCHANALYSE. EXPÉRIENCE ET ÉCOUTE DU CROIRE
- Guy-Robert St-Arnaud
- il y a 19 heures
- 43 min de lecture
Dernière mise à jour : il y a 8 heures
Guy-Robert St-Arnaud est professeur agrégé à L'Institut d'Études Religieuses de L'université de Montréal.
« [...]- si l’angoisse est ce que je vous ai dit, un rapport de soutien au désir car l’objet manque, à renverser les termes, le désir est un remède à l’angoisse. »1
Que dire lorsqu’une personne éprouve la vive sensation que l’expérience qu’elle s’apprête à vivre correspondra enfin à ce qu’elle a voulu toute sa vie. Enfin, la chance de ses rêves. Ce qu’elle a imaginé depuis si longtemps se trouve soudain à l’orée de se réaliser. Devant une telle opportunité, jusqu’où serions-nous prêt à poser des gestes quasi impensables pour ne pas avoir à se morfondre le reste de son existence parce que l’on aurait raté ce qu’il ne fallait absolument pas manquer?
On y a cru. Et l’après? Les honneurs ou la déception, qu’est-ce qui succède àl’euphorie et à l’ivresse des lendemains qui chantent? Certes, chacun ne réagit pas de la même façon à l’opportunité d’un gain de jouissance: pas assez ou trop fort, méfiance au point de l’expérimenter d’abord chez un autre, autant de scénarios possibles.
De quelle façon articuler le rapport au désir, tant au plan psychanalytique que d’une écoute du croire? Comment envisager une limite alors que la personne se dit prête à tout? Se mettre dans de telles dispositions pourrait équivaloir à une soumission aveugle laissant le champ libre à la suggestion, c’est-à-dire à s’en remettre à un autre pour déterminer ce qui est souhaitable pour soi. Au plan analytique, notre désir irait-il jusqu’à mettre en péril note corps pour arriver à son accomplissement? En bref, on peut se demander si le désir est sans limite2.
Au premier abord, il peut sembler que le mouvement du désir tend à éviter les limites, voire à se soustraire à nombre de contingences. Et pourtant, l’existence humaine pavée de déterminants, de contraintes, et d’interdictions incite plutôt à une perspective contraire. Un parlant s’assujettit à des mots, le mouvement de l’écrivain se fixe à des caractères, et qu’en est-il pour un désirant? N’est-il pas un conscrit du même âge que le manque? Si désir et manque sont comme deux jumeaux, l’angoisse de ne plus rien avoir à manquer touche à du réel et pas uniquement dans l’expérience analytique. La logorrhée d’un parler jusqu’au spasme d’expirer sans reprendre haleine, l’écriture sans ponctuation comme un flot de mots éperdus, ou encore soutenir du désir à la place d’un autre peuvent s’avérer si envahissants que le désir d’une limite advient comme une bouffée d’air frais.
Le parcours qui suit propose premièrement quelques remarques concernant la limite en psychanalyse, puis deuxièmement quelques extraits d’une entrevue3 où la prise de parole d’une personne exprime un rapport à la limite où l’angoisse fut au rendez-vous. Cette personne a vécu une expérience mettant quelque chose de son désir en jeu à travers diverses sessions de croissance ou de thérapies influencées par l’esprit dit du Nouvel Âge. Son cheminement est traversé par une forme d’exigence particulière qui nous conduit troisièmement à considérer brièvement ce qui a trait à une instance de l’exigence dans l’élaboration de la psychanalyse avec Freud et Lacan. Quatrièmement, des éléments pour une relecture de certains extraits de l’entrevue sont donnés à titre de piste de significations possibles. Cinquièmement, le parcours précédent invite à situer d’un point de vue psychanalytique un espace du désir où ce dernier n’est pas sans limite. Pour terminer, nous proposons une synthèse articulant le lieu du désir selon trois voies d’entrée. Chacune d’elle met en cause une forme de soustraction à la limite.
1. La limite en psychanalyse?
Qu’est-ce qui peut faire limite dans le champ psychanalytique? Il semble convenable de souscrire d’emblée au fait que la mort constitue une limite imparable. Certes, elle marque une fin, celle d’une existence éprouvée par soi et par notre entourage. Cela dit, il suffit de porter attention aux champs de l’expérience religieuse et de l’analyse pour entendre des personnes témoigner d’une présence où la mort ne constitue pas d’emblée une limite. Résurrection, réincarnation et autres pour le croyant, présence ou résurgence de l’absence des places paternelle ou maternelle dans la configuration du rapport au monde de l’analysant forment des éléments nullement inhabituels.
Un autre abord de la limite pourrait être le sexuel. Il touche à la fois au corps et à une dimension psychique. Ne pas être les deux sexes en même temps forme un repère sans que ce dernier ne facilite leur distinction ou leur rapport. La sexuation, voire le roc freudien de la castration, soutient quelque chose d’un rapport désirant se construisant avec une différence laissant envisager un possible rapprochement entre les sexes. Or, ce dernier ne se résorbe pas dans la complémentarité. De plus, l’inscription des deux sexes sous l’égide du phallus qui permet d’envisager la possibilité même d’un quelconque attrait entre les personnes sexuées ne va certes pas de soi. Certaines perspectives féministes en contestent radicalement la teneur. Encore, faudrait-il cerner de plus près le contenu de ce qui est présenté comme un rapport phallique alors que la perspective lacanienne introduit intrinsèquement à un non-rapport déplié sous forme d’exception et de pas- tout.
Reprenant ces deux repères de la mort et de la sexuation comme limite, Freud en fournit une élaboration dans l’Au-delà du principe de plaisir que Lacan établira comme concept fondamental, soit celui de répétition. La mort et la sexuation ne fonctionnent pas de façon isolée dans la quête du plaisir mais se trouvent nouées du point de vue de l’inconscient à un plus-de-jouir lié au mouvement même de répéter. En conséquence, et si inusité que cela puisse paraître, la répétition de quelque chose d’atroce pour la personne elle-même peut devenir source de satisfaction pour l’animal parlant. D’emblée, une telle perspective ne va pas sans interroger le ressort désirant d’une telle bête parlante.
L’hypothèse de l’inconscient se trouve connexe à une relecture du concept de répétition non plus en terme de stéréotypie de la conduite, mais plutôt de « répétition par rapport à quelque chose de toujours manqué ».4 Très tôt, Lacan a mis au jour le lien étroit tissé par Freud entre ce ratage et l’inscription de l’humain dans le langage. À cet égard, un des apports de Lacan consiste peut-être à en avoir fait une lecture en terme de graphe, soit le graphe du désir.

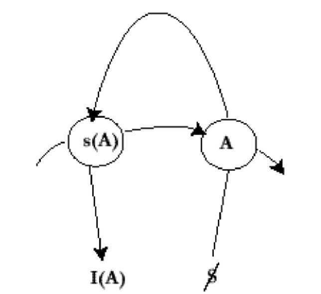
Ce graphe trace un double parcours constitué de deux vecteurs, soient deux flèches orientées de telle façon que celle qui croise le défilé des signifiants SS’ inscrit un trajet selon une direction rétrograde. Subvertissant la conception du message comme signification déjà établie dès le départ par l’intention de l’émetteur, le graphe du désir marque plutôt un point de capitonnage du sens où la signification se construit dans un après-coup :
Ce point de capiton, trouvez-en la fonction diachronique dans la phrase, pour autant qu’elle ne boucle sa signification qu’avec son dernier terme, chaque terme étant anticipé dans la construction des autres, et inversement scellant leur sens par son effet rétroactif. 5 (Nous soulignons)
La phrase suivante laisse trace de cette perspective si l’on prend soin de la situer dans le registre verbal. Que dire de la différence des référents pourtant si colorés, ces pois sont verts / ces poissons verts! Le moment de ponctuation, marqué par l’arrêt du glissement indéfini de la signification, est noté s(A). Ce produit fini de la signification est à lire comme surgissement du circuit rétroactif

Ce vecteur part du sujet divisé, sujet barré, par l'inscription au lieu des signifiants

langage, mais cette division permet par ailleurs une identification première qui forme l’idéal du moi noté I(A). Ce trajet rétroactif passe par le lieu du trésor des signifiants, noté A - lieu de l’Autre, qui ne se soutient pas de la correspondance univoque d’un signe à une chose mais plutôt de l’ensemble des signifiants de la langue dont la valeur de chacun ne se constitue que de son principe différentiel, à savoir son opposition à chacun des autres signifiants. Ce moment de scansion conduit à l’écriture du graphe:

Le graphe graphe du désir ouvre à une dimension langagière qui ne relève pas d’une correspondance directe entre les mots et les choses, entre l’intention et l’énoncé, entre le signe et l’énoncé. La communication entre les humains ne manque pas de rater. Le schéma linguistique de l’émetteur, de l’encodage du message puis de son décodage par le récepteur ne trouve plus ses assises, et que dire d’une conception
réduisant le langage humain à un outil d’information :
Car ce qui est omis dans la platitude de la moderne théorie de l’information, c’est qu’on ne peut même parler de code que si c’est déjà le code de l’Autre, or c’est bien d’autre chose qu’il s’agit dans le message, puisque c’est le sujet qui se constitue, par quoi c’est de l’Autre que le sujet reçoit même le message qu’il émet. 6 (Nous soulignons)
C’est de ce lieu de l’Autre que l’inconscient énonce son discours et inscrit le sujet dans une détermination à son insu sous l’égide de la répétition. Cette dimension du retour qui ne passe plus par le même et qui ne cesse d’insister resurgit dans la compréhension du désir :
Si, dans le registre d’une psychologie traditionnelle, on fait volontiers état du caractère immaîtrisable, infini, du désir humain – y voyant la marque de je ne sais quel sabot divin qui s’y serait empreint – ce que l’expérience analytique nous permet d’énoncer, c’est bien plutôt la fonction limitée du désir. Le désir, plus que tout autre point de l’empan humain, rencontre quelque part sa limite.7 (Nous soulignons)
La partie suivante constituée des extraits du dire de Sylvie permet de situer l’émergence d’une exigence et d’un lieu de parole qui devient pour elle la marque d’une insistance.
2. Sylvie
2.0 Introduction
Voici un exemple de lecture du dire que Sylvie a bien voulu généreusement livrer dans le cadre d'une recherche intitulée Croire à l'extrême, approche lacanienne des figures discursives et analyse des croyances dans l’horizon de groupes religieux. 8 Afin d'éviter quelques méprises, trois précisions s’avèrent nécessaires.
Premièrement, le contenu de ce texte ne vise pas à fournir des éléments d'information sur ce qui se vit spécifiquement dans les groupes qui ont donné lieu à de telles expériences. Aussi, il ne s’agit pas de tracer un portrait positif ou négatif aussi bien des personnes en cause que des groupes avec lesquels elles ont été en lien. 9
Deuxièmement, rappelons qu’il ne s’agit pas de propos recueillis dans le cadre d’une analyse mais bien d’une entrevue à caractère non directif réalisée par une tierce personne. Le point de départ consistait à inviter la personne à parler le plus librement possible de l’expérience qui l’avait conduite à un changement au plan de son univers de croyance. Aucun questionnaire préalable ne fut donné.
Cela dit, notre attention se dirige vers le chemin intérieur qui a pu façonner le parcours de cette personne à travers ce qu'elle a choisi de dire, ou de ne pas dire, ou de dire autrement. Aussi, il faudrait rigoureusement en déduire qu'à partir du moment où la bande sonore a recueilli ces propos qui ont été transcrits, ils n'ont plus aucun – et j’insiste aucun10 – lien direct avec la personne qui les a prononcés. En conséquence, si la personne entendait des allusions visant à l’identifier, elle serait en mesure de pouvoir dire qu’il ne s’agit pas d’elle si elle souhaite garder l’anonymat, peu importe les ressemblances, car c’est le sujet Sylvie en tant que construit par les effets de discours comme le tissage du verbatim, de l’écoute d’une bande sonore transcrite, de son écriture et de sa relecture en tenant compte de l’énonciation, etc.
Troisièmement, l’écriture et la lecture de ce texte sont appelés à produire un réseau d'effet de sens où les traces d'un sujet se laissent découvrir. En fait, la personne qui lit ou écrit est amenée à donner les principaux éléments sur lesquels reposent les rapports de signification qu'elle a lus. Si cette perspective semble évoquer un subjectivisme poussé à outrance, la contrainte de lecture s’avère d’une exigence proportionnelle. En effet, elle oblige à construire une interprétation possible, et non pas l’interprétation ou l’intentionnalité du texte, à partir du caractère littéral des expressions et du mot à mot utilisés. La possibilité d’une interprétation repose ainsi sur les traces concrètes, voire matérielles des signifiants du texte. En conséquence, une place importante aux dits de l’expérience vécue par la personne inscrit un espace pour un avènement de parole.
2.2 Éléments de son parcours
Sylvie se présente comme une personne très engagée en pastorale. Elle adéjà pensé à être religieuse. Une grande soif de vérité, de recherche et de croissance personnelle l'habite. Or, son aventure est très marquée par un amour inconditionnel et un lien de confiance avec les personnes qu'elle côtoie. Au fil de son itinéraire, le fait de vivre de nouvelles expériences suite à une invitation faite par une connaissance devient une source de confirmation personnelle de sa démarche. Par exemple, c’est une religieuse qui l'avait invitée à une session de rebirth, puis une collègue de travail l'avait amenée à une séance de workout, ... Au début, l’aspect très sensuel la surprend quelque peu mais elle ne s'en soucie pas trop car le côté sexuel ne se trouve pas touché selon Sylvie. De plus, aucune contrainte extérieure ne l’oblige à poursuivre la séance et la possibilité d’interrompre à tout moment reste présente.
Qu’est-ce que cette affaire-là? Pourquoi c’est si noir ? Mais en dedans le goûtde l’aventure, d'expérimenter , le fait que je sois toujours libre de sortir, departir de là . Je me suis assise et ce fut les explications de toutes les [...]étapes. À ce moment-là, ils ont nommé celui qui était comme le maîtrespirituel à l'origine de cette méditation. Pour moi c’était le goût del’expérience dans le fond, c’est tout. Puis il nous disait qu’on a le droit d’arrêter à n’importe quel moment, de sortir. Bref, là c'était correct.
Et là ils nous font signer un papier de décharge de responsabilité, si on sefait mal, si on n’a pas le sida. Des trucs normals en soi, il n’y avait rien ensoi qui était malsain et que dans les différentes étapes aussi c’était trèssensuel, à certains moments on pouvait se laisser aller. Mais pour ce qui estdu côté sexuel, on touche pas, on ne touche vraiment pas à cette partie-là.Alors j’ai dit oui à l’expérience même si, c'est un peu comme si je n'étais pasassez prête en dedans.
Mais ça répondait à mon besoin d’expression, au niveau physique. On pouvait crier, pleurer, il y avait différentes étapes. C'était les cris, c’était la catharsis, c’était le rire,c’était les sauts. Toutes les émotions, vraiment là.. ouf… Un package deal d’émotions qu’on avait le droit de laisser sortir. Et après cela, ça tombait dans quelque chose dans, de plus sensuel.
Alors une première expérience, eh c’est bon, ça fait du bien, puis je m’étais respectée quand même. Il y avait de la danse contact, j’avais quand même respecté un peu, puis c’était ok.
Une ambivalence demeure présente en dedans. À la fois, elle éprouve le goût d’essayer et ne se sent pas prête. Assez rapidement, le rapport au déplaisir intervient dans un contexte où elle cherche à dépasser ses limites : accepter et continuer d’avoir mal et à un moment donné ça lâche. Par contre, elle ne se préoccupe pas outre mesure de cet aspect car ces rencontres ne l'engagent pas davantage, bien qu’elle en parle en termes de cassure:
Et c'était buzzant, très buzzant, physiquement c'était buzzant parce que dans le fond je veux dire que tu dépasses tes limites et en même temps, comment je dirais cela, ça s’arrête là. Ça va pas vraiment en profondeur même s’il y avait du cri, même s’il y avait du rire, même s'il y avait des pleurs à quelque part ça s’arrête là. Il n'y a pas vraiment de support pour te permettre de continuer. Mais ma soif d’être avec du monde et d’avoir une gang, c’était bien.
... tout était fait pour casser nos propres limites et le mental dans nos programmations. Ok, c'est comme si tu as mal, tu as mal et tu continues puis à un moment donné ça lâche.
En expérimentant d'autres formes de méditation, elle sent « une soif de guérir de plus en plus profondément ses blessures » et participe à des activitésutilisant des techniques diverses (astral, chakra, aura, méditation, ...). La nudité avec d’autres ne l’incommode pas. Par contre, la liberté au plan des partenaires sexuels est vécue par elle comme un blocage et une incapacité à se laisser aller :
À ce moment-là, c’est sûr que j'avais un blocage au niveau sexuel. Alors je me disais que ça peut juste m'aider aussi de ce côté-là. À cet endroit tu sais, c'était le genre où tout le monde prenait leur douche, mais pas ensemble, mais tu pouvais te ramasser avec du monde, c'était nu et puis c'était correct. Tu sais aucun problème au niveau du corps. Moi ce dont je n'étais pas capable, et qui était permis à cet endroit, c'était que l'on pouvait coucher avec l'un ou l'autre, sans problème. Mais moi, en fonction de mes valeurs, je n'étais pas capable de dire « je me laisse aller jusque-là ». C'était clair, c'était clair.
La vénération portée au gourou indien à partir des vidéos qui étaient visionnés dans le groupe au Québec, ainsi que les cérémonies de changements de nom lui paraissaient difficilement acceptables. Par contre, elle se rassure en se disant: « Puis je me sentais toujours comme protégée avec l'espace pour dire oui ou non aussi. »
De plus, cette soif intense de croissance est exprimée comme « une recherche extrême ». Après 3 ans et demi, le summum thérapeutique va enfin se réaliser pour elle: le primal. Depuis que Sylvie est adolescente, elle veut faire cette thérapie du cri primal.
2.3 Du désir et de l’angoisse :
Alors que Sylvie espère enfin réaliser son souhait de guérison profonde, un intense dilemme intérieur se réitère:
Et puis à quelque part, c'est toujours ça que j'avais souhaité. Je me suis dit là je vais me guérir. C'était ça [l'enjeu] dans ce qui était proposé. Je me suis inscrite au primal et je l'ai fait.
Et durant le primal, il y a des choses que déjà en dedans [je me suis dit] ça va trop loin. Tu sais à un moment donné, il y a eu l'expérience où ils nous emmènent. On retourne avec notre mère, on retourne avec notre père, dans le fond on retourne dans notre enfance.
À un moment donné, il y a eu l'expérience ou ce que dans le fond on invitait à la masturbation individuelle. Ça fait comme ''oh, ça marche pas'' mais comme en même temps à cette époque là, je croyais que si moi je dis non à telle chose ou si je m'en vais en cours d'atelier, c'est moi qui me ferme puis je vais le payer. Tu sais dans le sens que je vais rester accrocher là dessus puis je vais le payer.
Pour elle, le croire lui édicte une impossibilité, à moins de le payer - comme elle le précise - deux fois plutôt qu’une. Comment arriver à dire non alors que la sublime occasion espérée depuis si longtemps est là, à sa portée:
Ce que j'ai réussi à faire c'est que je suis restée là mais j'ai décidé de ne pas faire l'exercice. Tu sais, on n'était pas beaucoup au primal, on était en cercle. C'est très intense, à quelque part tu diminues la nourriture. C'était assez intense…
2.3 a) Intermède – la refente du sujet. (11)
Ce type de solution trouvé par Sylvie est loin d'être inusité. Freud en faisait
état avec le concept de refente du sujet.
Dans le texte Die Ichspaltung, les éléments de la disjonction exclusive, ou bien ou bien, se retrouvent dans l'exemple d'un conflit chez un enfant entre la revendication d'une pulsion et l'objection venant de la réalité:
Il doit maintenant se décider: ou bien reconnaître le danger réel, s'y plier et renoncer à la satisfaction pulsionnelle, ou bien dénier la réalité, se faire croire qu'il n'y a pas motif de craindre, ceci afin de pouvoir maintenir la satisfaction.12
La dualité s'impose de telle sorte que le choix d'une solution partagée semble incompatible, voire contradictoire. Et pourtant, les contraires vont se superposer:
L'enfant cependant ne fait ni l'un ni l'autre, ou plutôt il fait simultanément l'un et l'autre, ce qui revient au même. Il répond au conflit par deux réactions opposées, toutes deux valables et efficaces.13
Freud accentue vraiment la contradiction par une superposition des contraires qui va jusqu'à les conjoindre dans la simultanéité, tout en maintenant leur distinction. Il met en évidence non seulement l'opposition entre les deux termes du dilemme, mais il la redouble dans le choix de la solution, et comble du comble affirme que c'est la même chose (« ce qui revient au même»).
Il s'avère pertinent de mentionner ici le commentaire de Freud sur le type de structure mis en cause: « Il faut reconnaître que c'est là une très habile solution de la difficulté.». Louange à sa propre habileté pour l'avoir déchiffrée puisque Freud l'utilise lui-même. Par exemple dans un texte de l'Interprétation des rêves, il est précisément question du «ou bien, ou bien»14 et voici ce qu'il conclut:
La manière dont le rêve exprime les catégories de l'opposition et de la contradiction est particulièrement frappante: il ne les exprime pas, il paraît ignorer le «non». Il excelle à réunir les contraires et à les représenter en un seul objet.15
Exprimer sans exprimer défie notre logique habituelle! Le parcours de Sylvie situe aussi un lieu de refente du sujet.
2.3 b) De la refente à la répétition
Sujet divisé par une refente, Sylvie semble au premier abord éviter le pire car la dernière solution lui permet de poursuivre. Cependant, un tel suspens ne se fait pas sans laisser de traces. En reprenant quelques extraits des paroles de Sylvie sur cette session de primal, les mots deviennent incisifs:
Cela a duré 5 jours… intensifs. C’est 2 jours sur la mère, 2 jours sur le père, 2 jours sur la mère et une dernière journée pour un petit peu récupérer, à travers différents exercices.
Mais à ce moment-là, je serais partie. Mais j'avais trop la chienne [peur] de dire je vais m'immobiliser quelque part dans mes blessures. Mais j'ai contacté quelque chose où je me suis dit que j'ai trouvé ça affreux, affreux dans le sens que je me suis dis « cela n'a aucun sens ».
Éclatement du sens, le scénario rêvé devient affreux et tourne à l'insensé. Il est pertinent de remarquer aussi que la citation précédente renferme un lapsus qui pourrait s'avérer significatif. Elle mentionne que la session du primal a duré cinq jours alors que l'énumération conduit à un total de sept16 suite à une répétition des jours concernant la mère.
Sylvie ajoute que la présence du groupe a contribué à lui fournir un support même si la démarche ne comportait pas de soutien ou d'accompagnement individuel. Ceci dit, même si elle a réussi à terminer le primal, le remue-ménage n'allait pas cesser pour autant.
Quand je suis sortie du primal, je suis revenue à la maison. En dedans, il y avait quelque chose qui avait décroché, qui marchait pas. Je me disais, il y a de quoi là, ça n'a pas de sens, ça n'a pas de sens de faire aussi mal. Et moi pour me protéger, j'ai fermé, j'ai fermé carrément. J'ai fermé en dedans de moi. Il faut pas que j'aie accès à ça. Du mieux que je peux, « c'est assez, jesuis allée trop loin » …
Le terme de refente ne s'avère pas trop fort pour exprimer cette division profonde. Elle souffre de façon aiguë et ressent profondément qu’elle est allée trop loin. Presque immédiatement après le primal, elle est tombée amoureuse d'une autre thérapeute avec qui elle fera vie commune. Et pourtant, Sylvie n'avait jamais songé à vivre avec une femme. En dépit d'une relation merveilleuse, la relance constante que Sylvie et sa conjointe exerçaient l'une envers l'autre au niveau d'une recherche intérieure de plus en plus fouillée a conduit Sylvie à une voie d'impasse. Elle dit que ce fut de « la boulchite »: « Il y a quelque chose en dedans qui a été touché. Et je me disais il y a quelque chose que je ne comprends pas pour que ça commence à aller si mal. Je savais aussi que c'était relié au primal ».
Après un accompagnement individuel avec une personne qui avait donné la thérapie du primal, rien n'a vraiment changé. L’absence plus prolongée de sa conjointe pour une semaine a plongé Sylvie dans un état qu'elle qualifie de panique (incapacité de conduire sa voiture, maux de tête, tremblements, agoraphobie, ...).
Pour ajouter à la panoplie des approches, une personne lui a dit qu'elle était possédée, puis ce fut son appartement qu'elle devait « déposséder » avec de la sauge. Toute une communauté de religieuses a été interpellée à la rescousse par des
prières.
Enfin, un appel téléphonique de sa seconde mère17 à laquelle elle n'avait pas parlé depuis longtemps a réussi à la sortir du réseau de groupe et de personnes où elle était auparavant:
Tout pouvait quasiment me bouffer par en dedans donc, entre guillemet, dans des peurs que j’avais. [...] Puis je sortais et j’allais dans le fond rencontrer ceux qui étaient dans le vrai monde qui étaient différents. Alors je suis arrivée là parce que là je ne faisais plus confiance à personne, personne, personne. Quand je suis arrivé là, c’est comme si j’ai senti le lien d’amour que j’avais avec cette personne-là. Tu sais dans le fond c’était pas d’hier, quelque chose de solide et je savais qu’elle m’aiderait, m’aimerait dans le fond, au-delà de tout, de tout ce que je peux avoir peur.
Sylvie est restée à cet endroit durant une période minimale de deux à trois mois, et a quitté à la fois le groupe et le centre de santé nouvel-âge où elle travaillait. Avec la présence de sa 2e mère, elle est arrivée à se délier des relations précédentes.
Il s'avère intéressant de noter qu'en aucun moment Sylvie ne fait mention d'abus physique de la part de membres du groupe. De plus, à maintes reprises ellefait écho à cet espace de décision qu'elle avait réussi constamment à préserver, exception faite du primal. Ceci dit, Sylvie parle rétroactivement de son expérience comme étant un viol, un sevrage, une désintoxication:
J’avais faim en dedans, faim de retourner les voir, […] Un vrai sevrage. Alors je me sentais là et en dedans j’avais l’impression de, ...d’avoir été violée en dedans. C’était l’impression dans laquelle je me sentais, et je me sentais vraiment en désintoxication.
Afin d'éclairer le mouvement qui a pu conduire Sylvie à outrepasser sa propre limite, voyons comment une dimension psychanalytique peut aider à comprendre la mise en place d’un impératif pouvant conduire une personne à s’inscrire dans une dynamique de souffrance, voire même de destruction.
3. Une instance de l’exigence
En 1924, à l’occasion de son élaboration sur la dimension économique du masochisme, Freud repère une forme singulière de masochisme, dit originaire18. Ce dernier revêt une dimension inconsciente dont l’importance conceptuelle et clinique
n’est pas anodine.
Suite à l’observation de diverses réactions thérapeutiques négatives, la pratique freudienne se trouve confrontée à un sérieux problème. Pourquoi des personnes répètent-elles, jusque dans leur rêve qui pourtant réalise le désir, des souvenirs pénibles et traumatisants? Alors qu’elles connaissent pertinemment le caractère douloureux et certaines causes rattachées à ces façons de faire, il n’en demeure pas moins que ces individus continuent malgré tout de les accomplir.
En 1920, Freud apporte des modifications théoriques afin de tenir compte deces difficultés se présentant en cours d’analyse. Il introduit alors l’Au-delà duprincipe de plaisir où les rapports entre le plaisir et la réalité s’articulent du point de vue de la répétition. Ces changements conceptuels, provoqués par l’interrogation de la répétition de la souffrance, conduisent à une nouvelle configuration des pulsions, soit celle de vie et celle de mort. Après cette refonte peu anodine, Freud ne déroge pas de sa rigueur et se rend compte que le problème ne concerne pas seulement l’énergie pulsionnelle mais les instances psychiques elles-mêmes.
L’impact s’avère majeur, au point où une nouvelle topique voit le jour. Celle- ci est directement liée à l’apparition du concept de surmoi en 192319. La topique est formée du moi, du ça et du surmoi qui constituent les trois instances du psychisme. L’origine du surmoi remonte au texte Pour introduire le narcissisme de 1914. Dès l’annonce de sa découverte, cette instance non encore nommée est présentée comme épiant le moi pour le soumettre à l’idéal. Aussi, elle ne serait pas sans lien avec la conscience morale:
Il ne serait pas étonnant que nous trouvions une instance psychique particulière qui accomplisse la tâche de veiller à ce que soit assurée la satisfaction narcissique provenant de l’idéal du moi, et qui, dans cette intention, observe sans cesse le moi actuel et le mesure à l’idéal. Si une telle instance existe, il est impossible qu’elle soit l’objet d’une découverte inopinée; nous ne pouvons que la reconnaître comme telle et nous pouvons nous dire que ce que nous nommons notre conscience morale possède cette caractéristique.20
Notons que cette nouvelle instance psychique s’active à observer sans cesse et à mesurer. La genèse conceptuelle du surmoi en lien avec la conscience morale révèle la place importante21 qu’il revêt pour Freud : « Nous avons attribué au surmoi la fonction de la conscience morale et reconnu dans la conscience de culpabilité l’expression d’une tension entre moi et surmoi22. » Aussi, cette nouvelle topique ouvre la voie à la lecture d’un masochisme à caractère moral.
D’une part, le surmoi occupe une place de modèle, aussi profondément inscrit que peut l’être le langage 23 , par le biais du complexe d’Oedipe. L’instance surmoïque s’acquitte sans vergogne de sa tâche de rappel des récriminations de façon impitoyable : « Le surmoi, la conscience morale à l’oeuvre en lui, peut alors se montrer dur, cruel, inexorable à l’égard du moi qu’il a sous sa garde24. » Sans même qu’il s’agisse de masochisme, un tel rapport s’avère présent.
D’autre part, le masochisme moral se situe du côté de la réponse, inconsciente rappelons le, du moi aux revendications du surmoi :
..., le masochiste doit agir à l’encontre de ce qui convient, œuvrer contre son propre intérêt, détruire les perspectives qui s’ouvrent à lui dans le monde réel et éventuellement anéantir sa propre existence réelle25. (Nous soulignons)
Il est question de masochisme moral lorsque la personne est conduite à son autodestruction, et même en retire une satisfaction. Elle n’a pas la conscience en paix tant aussi longtemps que les enchères de la souffrance n’ont pas atteint les limites, et non la limite puisqu’elle est sans fin, de l’insupportable: « ..., même l’autodestruction de la personne ne peut se produire sans satisfaction libidinale26. » Héraut d’une chaîne sans fin de malheur, une personne en psychanalyse peut éprouver une telle ivresse étreignant le tréfonds d’un tel gouffre. L’abîme appelant abîmes, à chaque fois l’extrême d’un souffrir éclate au plus profond d’un indicible tragique suffoquant la mort. Tel un corps déchiré en pièces obscènes, de nouvelles larmes desséchées de lambeaux écorchés de vie avivent au vif les béances de plaies méphitiques. Comment dire l’odieux désarroi et l’abominable envahissement de maux submergeant des interminables plaintes lancinantes aux dieux qui trépignent sur le sort des humains et font éclater en sanglots de trépassements? Pourquoi tant de malheurs s’acharnent-t-ils sur ce moi? La limite des limites aux idées noires du mourir et des souffrances n’a pas l’oreille d’un écueil où reposer sa tête. Un tel tableau si impressionniste soit-il ne laisse qu’une mince idée de la tempête psychique qui habite certaines personnes.
Comment une telle logique d’effondrement peut-elle s’instaurer avec autant de férocité? Par le biais du concept de jouissance, la perspective lacanienne permet de cerner de plus près cette force de confinement psychique qui revêt la forme d’une exigence sans borne.
3.1 Paradoxe de la conscience morale et jouissance
Lacan poursuit la lecture de Freud au sujet de l’abîme de l’au-delà du principe de plaisir dans son rapport avec la conscience morale. Le surmoi n’occupe pas principalement la place du contenu des interdictions de la conscience morale. D’emblée, il tient une place structurante concernant la question de la limite, à savoir l’intériorisation de la Loi et non pas des lois (contenu particulier des différentes interdictions).
Cette insistance concernant l’intériorisation de la Loi, Lacan la trouve judicieusement chez Freud. En effet, le surmoi se constitue comme « substitut du complexe d’Oedipe ». Il en est l’héritier27 par le biais d’une identification :
Les investissements d’objets sont abandonnés et remplacés par une identification. L’autorité du père ou des parents, introjectée dans le moi, y forme le noyau du surmoi, lequel emprunte au père la rigueur, perpétue son interdit de l’inceste et ainsi, assure le moi contre le retour de l’investissement libidinal de l’objet28. (Nous soulignons)
Précisons que, pour Lacan, l’introjection relève du symbolique c’est-à-dire d’un processus du signifiant. L’impératif du surmoi, rattaché au signifiant, commande la jouissance. Or, cette dernière ne se forme pas que de plaisir. Elle renferme autant, sinon suffisamment, de déplaisir pour que la mort puisse en être l’expression. Intrication moribonde, la jouissance use de l’ambivalence du plaisir et du déplaisir pour ne viser qu’une satisfaction toujours radicale. Mise en jeu à travers les méandres des plaisirs cachés, on pourrait penser que l’éthique constitue une barrière importante contre l’impératif de la jouissance. Or, Lacan en développe une lecture assez différente. La conscience morale est directement explicitée avec une dimension de paradoxe :
Quel est ce paradoxe? C’est ce en quoi la conscience morale, nous dit-il, se manifeste d’autant plus exigeante qu’elle est plus affinée - d’autant plus cruelle que moins en fait nous l’offensons - d’autant plus pointilleuse que c’est dans l’intimité même de nos élans et de nos désirs que nous la forçons, par notre abstention dans les actes, d’aller nous chercher. Bref, le caractère inextinguible de cette conscience morale, sa cruauté paradoxale, en fait dans l’individu comme un parasite nourri des satisfactions qu’on lui accorde. L’éthique persécute l’individu beaucoup moins proportionnellement, en fonction de ses fautes que de ses malheurs29. (Nous soulignons)
La spirale du paradoxe de la conscience morale qui ne cesse d’exiger davantage révèle à quel point ce ne sont plus les bonnes actions qui sont en cause mais la série noire des malheurs qui, peut-on espérer, va mettre un terme à ces inextinguibles revendications du surmoi. En fait, le surmoi ne fait que réitérer l’injonction de jouir, et de jouir encore et encore même si ça fait mal, et de plus en plus mal.
Cette toute-puissance du retournement contre soi se met à l’œuvre et, une fois amorcée, la réaction en chaîne ne touche plus les limites de la limite. Lacan le souligne avec insistance en montrant à quel point cet aspect s’avère radicalement
transversal à l’ensemble de l’œuvre de Freud :
[...], il n’en reste pas moins que dans la fibre même de tout ce que Freud a enseigné, il y a ceci, que c’est pour autant que le sujet retourne l’agressivité contre lui qu’en provient l’énergie dite du surmoi.
Freud prend soin d’ajouter cette touche supplémentaire, qu’une fois entré dans cette voie, une fois amorcé ce processus, il n’y a plus de limite – il engendre une agression toujours plus lourde du moi30. (Nous soulignons)
Avec l’avènement du surmoi, il devient possible de penser un tel effondrement en abîme. Et même plus, Freud relie sa présence à une identification, voire à une introjection. À la suite de la lecture lacanienne de Freud, le concept de jouissance introduit à la férocité du surmoi. Celui-ci en exige toujours davantage, telle une réaction en chaîne allant jusqu’à provoquer une implosion psychique où s’écroule, sans limite, le monde d’une personne.
4. Élément pour une relecture
Le témoignage de Sylvie met en scène un dilemme relevant d’un impossible. Continuer même si ça n'a pas de sens de faire aussi mal. Cet impossible convie à une première expression de la limite en faisant tenir ensemble des éléments contraires certes, mais au prix d’une refente subjective. Elle semble avoir trouvé une voie d’issue à sa situation. Il est pertinent de se demander si le dilemme en lui- même n’est pas devenu une façon de signifier, de dire l’impossible qui la tenaille. Dès lors, le dilemme prend le visage d’une issue de secours ou d’un moyen de survivre à la détresse Aussi, il laisse transparaître une répétition qui peut basculer aisément vers l’angoisse.
Ce deuxième aspect peut s’avérer pernicieux car il relève d’une dynamique inconsciente où la jouissance conduit à un processus sans limite, que nous avons appelé implosion psychique.
Pour Sylvie, son dire met en évidence que la réaction vécue lors de la session de primal repose moins sur la conformité ou non à son code moral de référence que sur le fait qu’elle éprouve une exigence qui la contraint à ne pas s’arrêter même si ça fait mal, et très mal ! En dépit du fait qu’en aucun moment elle a outrepassé ce qu’elle jugeait bien au niveau moral de ses comportements, une dynamique de jouissance s’est instaurée par les exigences toujours croissantes de ne pas s’arrêter. Comme elle le disait, je vais rester accrocher là-dessus puis je vais le payer. N’est- ce pas ce qu’elle a voulu éviter mais néanmoins réaliser à son insu? Tel un redoublement, ce qu’elle espérait pouvoir esquiver correspondrait-il précisément à ce qui lui arrive ? La répétition du moment d’impasse a conduit à un versant de destruction contre elle-même. Tentant d’expliquer son expérience par la confiance aux experts de ces approches, elle ajoute : « C’est que c’était le mieux, pratiquement. Tu sais, dans le fond j’avais accès, j’étais en contact avec les chefs de file au niveau du Nouvel Âge. »
Quand le mieux s’impose envers et contre tout, par la personne elle-même, un désir n’est-il pas en train de poindre ? À tout le moins, il s’avère pertinent de noter que le parcours et le dire de Sylvie se présentent d’une certaine façon comme une mise en échec de ceux qui sont considérés comme les « chefs de file », ainsi qu’à ce qu’ils ont de « mieux » à offrir. Essayons de préciser ce lieu où le désir tente de s’écrire.
5. Espace du désir : un désir qui n’est pas sans limite ?
Nous avons vu au début que l’expérience analytique situe le désir en lien avec la répétition et une fonction limitée. Un certain nombre de conséquences découlent de cette inscription du désir sous l’égide de la répétition faisant du désir une fonction limitée. Il convient de ne pas en conclure instamment que le désir est limité parce que sa fonction le serait.
Le calcul de certaines séries en mathématique peut en constituer un abord, ou encore le cas du rapport définissant le nombre π (3,1416...). D’une façon peut- être similaire au désir, π a la particularité d’avoir un nombre illimité de chiffres après la virgule. Et pourtant, la valeur tend vers une approximation suffisante permettant de quantifier la longueur déterminée du contour d’un cercle en suivant la formule, 2 fois π multiplié par la longueur du rayon. La mesure du contour, le périmètre, a une valeur donnée même si elle est obtenue par un rapport incluant un nombre dont la suite des chiffres est sans limite.
De façon similaire pour le désir, la limite de la fonction pourrait être associée
à la détermination qui contraint sa valeur alors que le désir en tant que tel se trouve
dans une suite de représentations qui ne cessent de se multiplier et de se moduler
selon des formes diverses. Dès lors, la fonction limitée du désir occuperait le versant
d’une fonction cherchant précisément à circonscrire un désir qui n’est pas sans
limite. Cette expression laisse cours à une double lecture.
Pour l’une, il est faux de concevoir le désir comme étant sans limite. Pour l’autre, le désir s’avère limite, demande à être considérer à la limite. Le désir devient corrélatif d’une durée indéfinie dont la portée ne se révélera que dans l’instant d’un après-coup où un renversement ou une jouissance ultime aura été soudain effleurée et évitée de justesse31 pour mieux faire retour dans un autre temps de scansion à l’insu de la personne. Si ce n’était de ce moment d’après-coup, rien ne laisserait présager d’un rapport intrinsèque à la limite qui habite le désir. Jusqu’à cette rétroaction, le désir maintient en suspens la limite, et au moment de scansion il ne fait que la rater. Il faudrait préciser que la jouissance ultime de même que la limite s’avèrent manquées.
Une telle articulation vient interroger les deux propositions contraires à savoir que le désir est sans limite, puisqu’elle est ratée à chaque fois, et que le désir est limité de par sa fonction désirante. Le lieu du désir se constitue d’un écart qu’il convient de prendre en considération afin de ne pas le réduire à un élément trivial. Aussi, le point de départ posant que le désir n’est pas sans limite donne à lire.
D’une part, selon une dimension de contrainte, le désir n’est pas infini et indéterminé. Il pointe à l’opposé de ce qui importe peu. Le désir s’avère plutôt déterminé et déterminant. D’autre part, selon une dimension paradoxale, le désir ne peut exister sans un rapport pour ainsi dire extrême, à la limite. Il n’est pas envisageable sans la perspective de ce qui est à la limite, de ce qui ne peut s’éprouver sans un terme dont la seule et unique caractéristique serait d’être constamment ouvert, soit sans terme. Contrainte et dimension paradoxale s’articulent à la fonction limitée du désir.
Premièrement, de façon générale on tend plutôt à opposer désir et contrainte. Par exemple, la contrainte s’avère vite occultée dans l’opinion au bénéfice d’une expression plurielle, « faire selon ses désirs ». Et pourtant le désir selon une perspective lacanienne a une dimension singulière, s’écrivant au singulier, car il se répète et insiste à l’insu des personnes.
Deuxièmement, le désir s’inscrit dans un rapport à la parole qui, d’une certaine façon, le rend incommensurable et paradoxal. La triple articulation du désir 32 au besoin (manque) et à la demande est en cause. Le rapport étroit que Lacan a explicité entre le ratage lié au caractère constitutif du manque et la subversion du sujet divisé par le défilement des signifiants se resserre avec l’écriture du désir avec le tore. À poser les vecteurs du point de capiton sur une sphère, il apparaît d’emblée que d’un point de vue structural le manque glisse à chaque fois. Les croisements de deux vecteurs peuvent parcourir indéfiniment la surface de la sphère sans être confrontés à un trou incontournable, soit le manque.

Lacan supplée à cette difficulté sur le graphe en introduisant un redoublement des vecteurs que nous aborderons en traitant de la demande inconditionnelle, puis de la distinction entre suggestion et l’interprétation d’un savoir supposé. Pour l’instant, mentionnons simplement que le tore permet de cerner la double dimension d’un manque irréductible et d’un moment de suspens rattaché au désir.

En suivant le défilement des demandes à la surface du tore, un parcours surgit à l’insu même du contenu particulier de chacune. Les multiples réponses et attentions particulières des parents satisfaisant amplement aux nécessités de l’organisme vivant du petit de l’humain n’éteignent pas ses pleurs. Le désir devient alors l’expression à la limite des demandes illimitées et de ce qui se trouve en reste à chaque tentative de réponse. Il en marque le coup, le compte pour un.

Ce trajet pointe vers du désir et trace une distinction entre les demandes de satisfaction et cet en deçà qui devient demande inconditionnelle d’amour. À travers la suite des diverses expressions des besoins, une demande particulière insiste et n’est pas sans lien avec la libido.
Si le désir s’avère le jumeau du manque, le fait de dire ce manque ouvre un champ dont le qualificatif d’incommensurable ne s’avère pas anodin. D’autant moins anodin que le fait de dire s’avère précisément oublié dans l’énoncé d’une mise en forme possible de cette tension précise ressentie au vif du corps. Or la correspondance entre cette tension et l’énoncé qui s’ensuit est loin d’être évidente, ni du point de vue des mots, ni du point de vue du mouvement qui peut conduire à une satisfaction. Parfois de la satisfaction est obtenue en répétant ce qui pourtant fait souffrir. Aussi, il n’effleure pas plus la cohérence de l’entendement d’exprimer avec un malin plaisir le souhait d’une aimable déclaration qui pourrait néanmoins renfermer une injure : « Je ne veux pas vous froisser, mais ... » laisse bien entendre qu’on pourra repasser une autre fois pour le caractère aimable de la déclaration. Quoi qu’il en soit, une même tension peut être exprimée à travers maintes demandes dont aucune ne sera exactement la même : soif, soif de boire chaud ou froid, soif d’un verre,... Et le même mot d’une demande peut servir à mettre en forme des tensions différentes : soif de lire, soif d’amour, soif d’une présence, soif de rien,... Cet écart offre un champ incommensurable de modulation tout autant de la tension que de la demande qui va s’y associer.
Cette perspective déplace le manque vers la rencontre manquée entre la tension éprouvée et l’expression de sa teneur précise. Ce ratage tourne le désir vers d’autres choses, d’autres modalités de rencontre, d’autres mots pour le demander encore, un lieu autre pour se l’entendre dire à notre insu, soit le lieu de l’Autre. Que le désir si singulier à une personne se constitue d’un lieu qui d’une certaine façon lui échappe à elle-même forme une dimension paradoxale. Ce déplacement du manque vers la rencontre manquée transforme-t-il aussi la reconnaissance du désir en désir de reconnaissance?
Cette question ne s’avère pas sans conséquence pour la pratique analytique puisqu’elle interroge la part de la suggestion dans l’interprétation. Le parcours d’une analyse se constituerait alors d’une confirmation ou d’une série de bonnes paroles où l’analyste identifierait le désir de l’analysant. Le parcours de Sylvie pose aussi cette même question dans un contexte qui n’est pas celui de la psychanalyse. Pourquoi ce qui lui est présenté par une amie ou quelqu’un qu’elle connaît devient- il le signe d’une confirmation pour elle? Le dit des autres ne devient-il pas déterminant? Pourquoi s’exige-t-elle de poursuivre même si elle sent que ça va trop loin? N’avait-elle pas affaire aux experts et aux chefs de file dans le domaine où un savoir leur était supposé de sa part? Une telle supposition de savoir pose une certaine convergence avec le transfert en analyse.
Lacan aborde cette tension entre suggestion et l’interprétation liée au transfert en rappelant d’abord le point de vue de Freud :
Freud nous dit tout le temps qu’après tout, le transfert, c’est une suggestion, que nous en usons à ce titre, mais il ajoute - à ceci près que nous en faisons tout autre chose, puisque cette suggestion, nous l’interprétons.33
Si le transfert constitue une condition nécessaire pour la prise en compte de l’analyse de la suggestion, il n’en demeure pas moins que l’idée de pouvoir qui s’y rattache s’avère être très répandue : « Le transfert est ici conçu comme la prise du pouvoir de l’analyste sur le sujet, comme lien affectif qui fait le sujet dépendre de lui, et dont il est légitime que nous usions pour qu’une interprétation passe.34 » Il ne s’agit pas de nier le fait que lorsque l’analysant aime son analyste, les interprétations sont peut-être davantage considérées. Est-ce pour autant réduire l’analyse à un usage du pouvoir? Est-il possible de cerner de plus près l’enjeu en cause de telle sorte qu’on puisse espérer distinguer suggestion et transfert?
Lacan pose la problématique en la conduisant à sa voie d’impasse :
On nous dit- Oui, c’est simple, nous allons analyser le transfert, vous verrez, ça fait tout à fait s’évanouir le transfert. [...] Considérer que l’on se distingue de celui qui prend appui sur son pouvoir sur le patient pour faire passer l’interprétation, donc qui suggère, en ceci que l’on va analyser cet effet de pouvoir, qu’est-ce d’autre que de renvoyer la question à l’infini? - puisque c’est encore à partir du transfert que l’on analysera que le sujet ait accepté l’interprétation. Il n’y a aucune possibilité de sortir par cette voie du cercle infernal de la suggestion. Or, nous supposons justement qu’autre chose est possible.35 (Nous soulignons)
Dans l’articulation poursuivie par Lacan, l’identification est posée comme alternative ou temps d’arrêt à la suggestion. Or, lorsque Freud présente les trois sources de l’identification en lien avec la formation de symptôme, il définit la deuxième de la façon suivante :
Ou bien au contraire le symptôme est le même que celui de la personne aimée (ainsi, par exemple, Dora dans le « Fragment d’une analyse d’hystérie » imite la toux du père); nous ne pouvons alors décrire la situation qu’ainsi : l’identification a pris la place du choix d’objet, le choix d’objet a régressé jusqu’à l’identification.36 (Nous soulignons)
Remarquons que la première source n’est pas sans rapport avec cette deuxième37. Pour la première, Freud donne l’exemple d’une petite fille qui contracte le même symptôme douloureux que sa mère et ainsi
[...] l’identification est celle-là même du complexe d’Oedipe, qui signifie une
volonté hostile de se substituer à la mère, et le symptôme exprime l’amour
objectal pour le père; il réalise la substitution à la mère sous l’influence de
la conscience de culpabilité : tu as voulu être la mère, maintenant tu l’es, au
moins dans la douleur.38
Malgré le fait que dans le dernier exemple, le moi copie la personne non aimée alors que dans l’autre c’est la personne aimée qui est copiée, des rapprochements entre ces deux identifications sont dégagées : « Il ne doit pas non plus nous échapper que l’identification est, les deux fois, partielle, extrêmement limitée, et n’emprunte qu’un seul trait à la personne-objet. »39
Considérant les éléments précédents, on note que Lacan relève pour la deuxième source de l’identification deux caractéristiques. La première a trait à la régression40 et la deuxième au signifiant. Lacan s’avère même insistant pour nouer intrinsèquement le signifiant à la régression en tant que cette dernière est « plus exactement soumise à la seule condition de l’existence du signifiant »41. Dans ce séminaire du 4 juin 1958, six éléments se trouvent mis en lien : la régression, la deuxième identification, le signifiant, la demande inconditionnelle d’amour, le transfert et la suggestion. Lacan élabore une conceptualisation de la régression en reprenant le point de vue freudien qui la situe face à l’identification mais en y ajoutant l’apport du signifiant. Cela permet ainsi une lecture singulière du surgissement d’une demande inconditionnée et de la place spécifique du transfert par rapport à la suggestion. Reprenons de façon synthétique l’articulation des six éléments.
a- La régression et la deuxième source de l’identification.
Freud note que la deuxième modalité d’identification au niveau primaire porte sur un objet libidinal et la transformation de ce lien libidinal en identification se constitue par voie régressive : « [...] ce que Freud dit que son expérience lui donne - cette identification est toujours de nature régressive. Les coordonnées de la transformation d’un attachement libidinal en identification, montrent qu’il y a régression. »42
b- Le signifiant
Lacan ajoute à la lecture freudienne l’articulation signifiante : Nous l’articulons [la régression] en posant que c’est le choix des signifiants qui donne l’indication de la régression. La régression au stade anal, avec toutes ses nuances et variétés, voire au stade oral, c’est toujours la présence, dans le discours du sujet, de signifiants régressifs. Il n’y a pas d’autre régression dans l’analyse.43 (Nous soulignons)
Alors qu’une certaine compréhension envisage tout autant le développement que la régression en fonction de stades (oral, anal, phallique et génital), Lacan propose une lecture différente. La régression porte sur le choix des signifiants, voire des signifiants régressifs. Mais qu’en est-il de ces signifiants régressifs ? Pour y répondre, comme nous le verrons dans ce qui suit, Lacan redouble la ligne du défilé des signifiants sur le graphe du point de capiton.
c- La demande inconditionnelle d’amour.
C’est sur le versant des horizons de la demande que Lacan situe le choix des signifiants, et par conséquent l’éventualité de signifiants régressifs. Il s’agit bien de deux horizons, à avoir deux façons qui peuvent être distinguées dans la façon de situer la demande :
Quoi qu’il en soit de la perspective du besoin, ces lignes nous donnent les deux horizons de la demande. Nous trouvons ici la demande en tant qu’articulée, pour autant que toute demande de satisfaction d’un besoin doit passer par les défilés de l’articulation que le langage rend obligatoires. D’autre part, du seul fait de passer au plan du signifiant, si l’on peut dire, dans son existence et non plus dans son articulation, il y a demande inconditionnelle de l’amour,... 44 (Nous soulignons)
Adresser et répondre à une demande, si précis en soit le contenu, introduit un rapport à un Autre lieu du seul fait de ne pas être considérer comme une équivalence entre un signe et une chose. Demander la satisfaction d’un besoin ne fait-il pas intervenir le fait même que la personne accepte ou non d’être présente ou absente pour entendre et y donner suite de telle façon et pas d’une autre ? Répondre à quelqu’un ne devient-il pas une demande que l’autre accepte ce qui lui aura été présenté comme réponse ? Et la personne qui répond s’inscrit-elle dans un mouvement où elle se considère ou non comme étant apte à bien répondre ? Du seul fait que le besoin passe par les défilés des mots du langage humain pour constituer une demande, il en émerge simultanément une double demande que Lacan exprime comme demande inconditionnée ou demande inconditionnelle d’amour.

L’ajout de cette deuxième ligne au schéma se réalise avec l’insertion des concepts de pulsion et de

Or l’écriture de la pulsion semble quelque peu surprenante du fait qu’elle se construit précisément du rapport de poinçon avec la demande,

Le sujet barré s’efface au bénéfice de la demande lorsque celle-ci se fait exigence pulsionnelle ou la demande pulsionnelle est latente au mouvement du sujet qui surgit comme divisée. Mais en quoi une pulsion peut-elle bien être une demande, c’est-à-dire ne serait-elle pas simplement une tension au bo rd des orifices du corps à savoir un besoin? Sur ce point, Lacan s’avère très freudien puisque la pulsion freudienne n’a pas qu’un aspect somatique. Elle n’est pas que le signe d’une excitation sur le corps. La pulsion se distingue de l’instinct et comporte à la fois une dimension somatique et psychique. Si le signifiant se définit comme un représentant de la représentation, la pulsion en tant que représentant psychique de la tension somatique comporte une dimension signifiante. En conséquence, la pulsion se situe aussi du côté de la demande et pas seulement comme besoin. Mais comment pourrait-on évacuer de la pulsion la dimension concrète d’inscription dans le corps physique? Pour cette raison, il semble tout à fait cohérent de ne pas réduire cette demande à celle de la première ligne du graphe puisqu’elle se déroule en faisant surgir de la signification au plan de l’énoncé. Quant à la deuxième ligne du graphe, le terme qui se trouve à la place symétrique de la signification est de l’ordre du manque, soit

Ce signifiant manquant au lieu de l’Autre, ou signifiant du manque de l’Autre, articule bien le trajet de la pulsion qui ne peut se résorber en un produit finit de la signification comme dans l’autre ligne. Il manquera toujours du signifiant ultime pour réussir à faire taire tout mouvement pulsionnel. À sa manière, Freud le rappelle en disant qu’il s’agit d’une force constante. Le trajet de la pulsion ne fait que contourner son objet pour compléter son parcours en un retour au même lieu, soit le bord de la source pulsionnelle et ainsi se répéter.
Comme nous venons de l’expliciter, les éléments de la deuxième ligne du graphe révèlent à la fois leur proximité et leur distinction avec ceux de la première ligne. Distinguer sans séparer, réunir sans confondre font partie du mouvement de la structure que Lacan présente comme une nécessité topologique :
Sur ce schéma, les deux lignes où le besoin du sujet s’articule comme signifiant - celle de la demande comme demande de satisfaction d’un besoin et celle de la demande d’amour - , sont séparées pour une raison de nécessité topologique, [...]. La séparation ne veut pas dire qu’elles ne soient pas une seule et même ligne, où s’inscrit ce qu’articule l’enfant à la mère. Il y a superposition permanente du déroulement de ce qui se passe sur l’une et l’autre de ces lignes. 45 (Nous soulignons)
Cette remarque revêt une importance car elle constitue une zone de recouvrement et de distinction dont la régression constitue le temps de recouvrement. Lacan en fournit d’abord une lecture en lien avec la deuxième modalité de l’identification et la double demande :
[...] l’identification à l’objet aimé en tant que régressive, c’est-à-dire en tant qu’elle devrait se produire ailleurs, en un point d’horizon qui n’est pas facile à atteindre parce que la demande est justement inconditionnée, ou plus exactement soumise à la seule condition de l’existence du signifiant, pour autant que, hors de l’existence du signifiant, il n’y a aucune ouverture possible de la dimension d’amour comme telle.46 (Nous soulignons)
Même si cette identification s’avère partielle et « n’emprunte qu’un seul trait à la personne-objet », elle est régressive et de ce fait elle ne peut se résorber dans un seul trait de l’objet aimé. Le trait fonctionne comme un trait qui ne peut signifier en lui-même l’objet aimé et en conséquence il ne peut se clore et se réduire en une demande particulière de satisfaction :
Celle-ci [ la demande inconditionnée d’amour] est donc entièrement dépendante de l’existence du signifiant, mais, à l’intérieur de cette existence, elle ne l’est d’aucune articulation particulière. C’est pour cette raison qu’elle n’est pas facile à formuler puisque rien ne saurait la compléter, la combler, même pas la totalité de mon discours, dans toute mon existence, puisqu’elle est en plus l’horizon de mes discours.47
Aussi, cette demande se supporte rétroactivement du signifiant manquant, soit

Voyons maintenant la régression en ce qui a trait à la suggestion et au
transfert.
d- Le transfert et la suggestion : le lieu du désir.
La relation de transfert s’inscrit elle aussi dans le registre de la demande : demande de souffrir moins, demande d’un savoir sur ce qu’il en est du symptôme, demande d’amour,... En conséquence, le même rapport topologique à la régression vient structurer le transfert qui sera mis en tension avec la suggestion :
Quand Freud nous dit que l’identification qui succède à cette visée de l’objet comme aimée et la remplace, est une régression, ce dont il s’agit, c’est de l’ambiguïté de la ligne du transfert avec la ligne de la suggestion. 48 (Nous soulignons.)
On obtient donc le graphe suivant avec l’espace de pulsation entre la ligne de transfert et celle de suggestion :

Concernant le transfert et la suggestion, les deux lignes sont aussi dans une tension qui ne permet de considérer leur distinction comme définitivement acquise :
Donc, si l’identification est régressive, c’est précisément en tant que l’ambiguïté reste permanente entre la ligne de transfert et la ligne de suggestion. [...] Mais il reste que s’il y a transfert, c’est très précisément pour que cette ligne supérieure soit maintenue sur un autre plan que sur celui de la suggestion, à savoir qu’elle soit visée, non pas comme quelque chose à quoi ne répond aucune satisfaction de la demande, mais comme une articulation signifiante en tant que telle. C’est ce qui distingue l’une de l’autre.49 (Nous soulignons.)
La place de l’analyste qui en résulte ne sera certainement pas de susciter des identifications puisque celles-ci marquent plutôt un temps d’arrêt dans le défilé signifiant. La suggestion peut-elle être complètement évacuée? Certes non, car « de par notre présence [celle de l’analyste], et en tant que nous écoutons le patient »50, la ligne de transfert tend à se confondre avec celle de la suggestion. Dès lors se dessine la pertinence de l’écoute flottante pour tenter d’entendre l’articulation signifiante, i.e. la demande inconditionnée qui tente de se dire à travers la répétition des diverses demandes de satisfaction et les effets de suggestion. Une telle conception pourrait paraître idéaliste si quelque chose ne la soutenait pas aussi du côté de l’analysant. En ce lieu, Lacan situe le champ du désir. Aussi, le désir comme écart (entre demandes et besoin) devient parlant puisqu’il ne peut être aboli et son maintien continue de diviser le sujet.

Le lieu du désir constitue précisément la limite rencontrée par l’hypnotiseur en sorte « qu’aucune suggestion, si réussie soit-elle, ne s’empare totalement du sujet. »51
À la limite - un triple effet soustractif pour le lieu du désir
Le questionnement poursuivi concernant le rapport du désir à sa fonction limitée nous a mené par le biais de Sylvie à une instance d’exigence appelée surmoi. De façon paradoxale, il s’avère que la conformité aux normes et un agir sans transgression sont loin d’atténuer l’intensité, voire la férocité des demandes du surmoi. En poursuivant les circuits de la demande, soit l’articulation signifiante du besoin et celle du transfert, nous avons cerné la place importante que Freud et Lacan accordent au concept de régression, déterminée par le signifiant et marquée par une identification. Aussi, deux autres voies d’entrée se sont dessinées pour le lieu du désir : le passage par la pulsion et le chemin de l’interprétation.
Chacune de ces trois voies opère d’un trait soustractif développé ici selon une tension entre deux termes définissant trois axes: celui des interdits versus d’une instance de l’exigence soustraite à la limite, celui d’une demande de satisfaction versus d’une articulation soustraite à la contingence, et finalement celui d’une dynamique qui soustrait à l’absence de distinction entre la suggestion et l’interprétation où un savoir est supposé. En résumé, le lieu du désir peut être situé à partir de la trace de la réitération de ce triple effet soustractif pour éprouver la différence qui en résulte à chaque relecture. La prise en considération de ce triple effet, soit le caractère illimité de l’instance du surmoi, soit l’aspect inconditionnel rattaché au mouvement même de la demande, soit la dimension suggestive exercée pas un savoir supposé, constitue trois voies d’entrée au lieu du désir.
L’écart entre les deux lignes du graphe du désir permet de relire cette phrase de
Lacan :
Le désir de l’analyste n’est pas un désir pur. C’est un désir d’obtenir la différence absolue, celle qui intervient quand, confronté au signifiant primordial, le sujet vient pour la première fois en position de s’y assujettir. Là seulement peut surgir la signification d’un amour sans limite, parce qu’il est hors des limites de la loi, où seulement il peut vivre. 52 (Nous soulignons)
Cette perspective dégage une direction pour le désir, à savoir que ce qui se constitue par voie régressive se donne à lire comme articulation du signifiant par un triple trait soustractif. En terminant, précisons qu’il serait pertinent d’aborder l’espace du désir par l’effet conjuguée des trois moments de soustraction, soit l’analyse du rapport au fantasme mettant en relief l’objet cause du désir. Aussi, le témoignage de Sylvie en fait écho puisqu’il fait retour à la limite du sexuel devant lequel se produit un effet d’effacement (aphanisis) du sujet. Le moment de refente identifié pointe en direction de cet effet.
Poursuivre le travail de relecture irait dans le sens d’un travail psychanalytique qui n’était pas visé par les entretiens de recherche. Cela dit, l’écoute du croire ne se trouve pas exempte de tels moments d’effacement d’un sujet. Aussi, il y a lieu de ne pas ignorer ce qu’il en est du rapport entre le désir, le manque et l’angoisse, sous peine d’être submergé dans la suggestion sans limite!
1 Lacan, Le transfert. Le séminaire livre VIII (1960-61), Paris, Seuil, 1991, p. 430
2 Cette question avait fait l’objet d’un colloque de l’É.LM. (École lacanienne de Montréal) autour des années 2000.
3 Précisons d’emblée qu’il ne s’agit pas de présenter ici une analyse détaillée des nombreux aspects du matériel contenu dans cette entrevue.
4 Jacques LACAN, Les quatre concepts fondamentaux de la psychanalyse. Le séminaire livre XI (1964), Paris, Seuil, 1973, p.131.
5 Jacques LACAN, « Subversion du sujet et dialectique du désir dans l’inconscient freudien », dans Écrits, Paris, Seuil, 1966, p. 805.
6 Ibid., p. 807.
7 Jacques LACAN, Les quatre concepts fondamentaux de la psychanalyse, Le Séminaire livre XI, p.32
8 Je remercie vivement Lucie Hervieux pour son apport au projet de recherche sur le croire
à l’extrême.
9 À cet effet et pour respecter la confidentialité des témoignages, le nom du groupe de même
que la véritable identité de la personne ne sont pas mentionnés.
10 La perspective de cette recherche suit une méthodologie qui ne s’appuie pas sur une
confirmation postérieure des propos de la personne. À ce titre, il ne conviendrait pas d’aller vérifier ni l’exactitude des faits en cause, ni de demander à la personne si les extraits respectent son intention. Le principal fait qui nous guide est celui de la parole dite et de son mot à mot. Mentionnons que le verbatim est déjà une interprétation. Par exemple, le ton de certains passages, les hésitations sont trahies d’une certaine façon par l’écriture et sa ponctuation. Quelques éléments des extraits ont été mis en italique pour faciliter la
lecture. Afin de respecter le mieux possible l’articulation du contenu, les extraits sont mis en retrait comme des citations longues.
11 Terme exprimant le concept allemand de Ichspaltung, traduit aussi par clivage du moi. Précisons qu’il ne s’agit pas de développer une philosophie clivée ayant trait à de multiples divisions catégorisées par niveau en fonction des représentations imaginaires de la personnalité, du groupe et de sa hiérarchie qui s’établirait. La refente envisagée ici repose sur l’emprise psychique du signifiant qui représente le sujet pour un autre signifiant, au détriment de la représentation pour quelqu’un d’autre, à commencer par le rapport à soi- même qui s’en trouve défaillant, partiel : un sujet barré et divisé par les mots qui lui fournissent un logis. Sigmund FREUD, « Le clivage du moi dans le processus de défense » (1938), dans Résultats, idées, problèmes, II (1921-1938), Paris, PUF, 1987, p. 283-286.
12 Ibid., p. 283.
13 Ibid., p. 284.
14 Sigmund FREUD, L’interprétation des r^ves, Paris, PUF, 1980, p. 273-4.
15 Ibid., p. 274
16 « C’est 2 jours sur la mère, 2 jours sur le père, 2 jours sur la mère et une dernière journée pour un petit peu récupérer. »
17 Respectant la contingence du contenu de l’entrevue, Sylvie donne peu de précision sur ce point : « ma deuxième famille de racine mais c’est comme un peu ma famille adoptive ».
18 Sigmund FREUD, « Le problème économique du masochisme » (1924), dans Névrose, psychose et perversion, Paris, PUF, 1981, 287-297.
19 Sigmund FREUD, « Le moi et le ça» (1923), dans Essais de psychanalyse, Paris, Petite bibliothèque Payot, 1976.
20 Id., « Pour introduire le narcissisme» (1914), dans La vie sexuelle, Paris, PUF, 1985.
21 Sigmund FREUD, « Névrose et psychose» (1924), dans Névrose, psychose et perversion, Paris, PUF, 1981, 285. Au plan clinique et conceptuel, la place du surmoi fait même preuve d’omniprésence : « Le comportement du surmoi devrait, contrairement à ce qui s’est passé jusqu’à présent, être pris en considération dans toutes les formes de maladie psychique. »
22 Id., « Le problème économique du masochisme », op.cit., p. 294.
23 Sur ce point, Lacan a bien noté que Freud fait mention d’une introjection, laquelle se distingue de la projection. L’introjection relève d’un processus opérant principalement à partir de signifiant tandis que la projection concerne davantage la représentation directe, soit l’imaginaire.
24 Ibid., p. 295
25 Ibid., p. 297
26 Ibid., p. 297
27 Sigmund FREUD, « Quelques conséquences psychiques de la différence anatomique des sexes » (1925), dans La vie sexuelle, Paris, PUF, 1985, p. 131.
28 Sigmund FREUD, « La disparition du complexe d’Œdipe» (1923), dans La vie sexuelle, Paris, PUF, 1985, p. 120
29 Ibid.., p. 107-108.
30 Jacques LACAN, L’éthique de la psychanalyse. Le séminaire livre VII (1959-60), Paris,
Seuil, 1986, p. 228.
31 Est-il nécessaire de rappeler ici les moments de surgissement de l’angoisse dans le
parcours de Sylvie?
32 Selon Lacan, le désir est la différence qui résulte de la soustraction de l’appétit de la satisfaction à la demande d’amour. Cf., J. LACAN, « La signification du phallus » dans Écrits, Paris, Seuil, 1961, p. 691.
33 Jacques LACAN, Les formations de l’inconscient. Le séminaire livre V (1957-58), Paris,
Seuil, 1998, p. 427.
34 Ibid., p. 428.
35 Ibid., p. 428.
36 Sigmund FREUD, « Psychologie des foules et analyse du moi» (1921), dans Essais de psychanalyse, Paris, Payot, 1981, p. 169.
37 Mentionnons que la troisième « peut naître chaque fois qu’est perçue à nouveau une certaine communauté avec une personne qui n’est pas objet des pulsions sexuelles » (ibid., p. 170). Son mécanisme repose sur la capacité de se mettre dans une situation identique. Par exemple, une jeune fille d’un pensionnat reçoit une lettre de son ami en secret. Le contenu de la lettre suscite sa jalousie et la jeune fille réagit par une crise d’hystérie dont certaines de ses amies vont réagir de la même façon.
38 Ibid., p. 169.
39 Ibid., p. 169. Nous soulignons.
40 Freud mentionne la régression explicitement, cf, note 28 de notre texte, et aussi lorsqu’il résume la question: « deuxièmement, par voie régressive, elle [l’identification] devient le substitut d’un lien objectal libidinal, en quelque sorte par introjection de l’objet dans le moi; » (ibid., p. 170).
41 Jacques LACAN, Les formations de l’inconscient. Le séminaire livre V, Paris, Seuil, 1998,
p. 432.
42 Ibid., p. 426.
43 Ibid., p. 426.
44 Ibid., p. 427
45 Ibid., p. 427.
46 Ibid., p. 432.
47 Ibid., p. 432.
48 Ibid., p. 428.
49 Ibid., p. 429.
50 Ibid., p. 430.
51 Ibid., p. 430.
52 Jacques LACAN, Les quatre concepts fondamentaux de la psychanalyse. Le séminaire livre XI (1964), Paris, Seuil, 1973, p. 247.